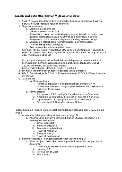
Pertanyaan OSCE Kedokteran

D.Consentmo 46 views
Pertanyaan OSCE Kedokteran

Pertanyaan OSCE Kedokteran

Haloo, para calon dokter dan profesional medis sekalian! Kalian lagi nyiapin diri buat menghadapi Ujian Kompetensi Mahasiswa Program Profesi Dokter (UKMPPD) berbasis Objective Structured Clinical Examination (OSCE)? Keren banget! Nah, OSCE kedokteran ini memang jadi salah satu tahap penting banget buat nentuin kelulusan kalian, jadi wajar banget kalau banyak yang deg-degan dan nyari-nyari materi persiapan. Jangan khawatir, guys, di artikel ini kita bakal bongkar tuntas apa aja sih yang biasanya keluar di pertanyaan OSCE kedokteran dan gimana cara biar kalian bisa ngadepinnya dengan pede. Siapin catatan kalian, yuk!

Memahami Format OSCE Kedokteran: Lebih dari Sekadar Hafalan

Oke, jadi apa sih sebenarnya OSCE kedokteran itu? Singkatnya, OSCE ini adalah ujian praktik yang dirancang buat nguji kemampuan klinis kalian dalam berbagai skenario. Beda banget sama ujian teori yang cuma ngandelin hafalan, di OSCE ini kalian bakal dihadapkan sama ‘pasien’ (biasanya diperanin sama aktor profesional atau rekan sesama mahasiswa), dan kalian harus ngelakuin serangkaian tugas sesuai dengan kondisi pasien yang dikasih. Tugasnya bisa macem-macem, mulai dari anamnesis (nanya-nanya riwayat penyakit), pemeriksaan fisik, sampai komunikasi dengan pasien dan bahkan kadang harus ngasih edukasi atau konseling. Yang paling penting, setiap stasiun di OSCE kedokteran ini punya waktu terbatas, jadi kalian harus efisien dan fokus banget. Stasiun-stasiun ini biasanya disusun secara berurutan, membentuk alur penanganan pasien dari awal sampai akhir, makanya disebut ‘Objective Structured Clinical Examination’. Struktur yang terstruktur ini memastikan semua mahasiswa diuji dengan standar yang sama, jadi penilaiannya objektif dan adil. Penilaiannya pun nggak cuma sekadar benar atau salah, tapi juga meliputi aspek-aspek penting kayak teknik pemeriksaan yang benar , komunikasi yang efektif , kemampuan mengambil keputusan klinis , dan sikap profesionalisme . Jadi, penting banget buat kalian buat nggak cuma ngapalin teori, tapi juga ngerti gimana aplikasi praktisnya di lapangan. Kadang, ada juga stasiun yang fokus ke kemampuan interpretasi hasil pemeriksaan penunjang, kayak rontgen, EKG, atau hasil lab. Ini nambah kompleksitasnya, tapi juga bikin ujiannya lebih komprehensif. Pokoknya, persiapan matang adalah kunci utama buat taklukin pertanyaan OSCE kedokteran ini. Anggap aja ini latihan kalian sebelum beneran jadi dokter yang siap terjun melayani pasien. Semakin kalian terbiasa dengan format dan tekanan waktu, semakin pede kalian nanti saat ujian sesungguhnya. Ingat, skill klinis itu perlu diasah terus-menerus , dan OSCE ini adalah salah satu sarana terbaik buat mengasahnya.

Area Kunci dalam Pertanyaan OSCE Kedokteran: Fokus pada Apa yang Penting

Nah, biar nggak salah fokus pas persiapan, kalian perlu tahu nih, area apa aja sih yang paling sering muncul di pertanyaan OSCE kedokteran ? Biasanya, ujian ini akan mencakup berbagai sistem organ dan kondisi medis yang umum ditemui. Misalnya, kalian bisa aja ketemu stasiun yang fokus pada sistem kardiovaskular, di mana kalian mungkin harus melakukan pemeriksaan fisik jantung, menanyakan gejala nyeri dada, atau menginterpretasikan EKG. Ada juga kemungkinan bertemu stasiun tentang sistem respirasi, yang menguji kemampuan kalian dalam mendengarkan suara paru-paru, menanyakan keluhan sesak napas, atau mengenali tanda-tanda pneumonia. Sistem gastrointestinal juga sering banget jadi bahan ujian, seperti memeriksa perut untuk mencari tanda-tanda pembesaran organ atau menanyakan riwayat sakit perut. Jangan lupakan sistem neurologi, di mana kalian mungkin diminta menguji refleks, memeriksa kekuatan otot, atau menanyakan gejala kelemahan anggota gerak. Selain itu, materi tentang penyakit infeksi seperti demam berdarah, malaria, atau bahkan COVID-19 juga seringkali masuk. Kondisi kegawatdaruratan seperti syok, henti jantung, atau reaksi alergi berat juga nggak luput dari perhatian. Penting juga untuk diingat, OSCE kedokteran tidak hanya menguji kemampuan diagnosis dan penanganan medis , tapi juga keterampilan komunikasi dan profesionalisme . Kalian akan dinilai seberapa baik kalian berinteraksi dengan ‘pasien’, bagaimana kalian menjelaskan kondisi medis dengan bahasa yang mudah dipahami, dan bagaimana kalian menunjukkan empati serta etika kedokteran. Terkadang, ada juga stasiun yang fokus pada resep obat, penulisan resep yang benar, atau bahkan interpretasi hasil laboratorium sederhana. Jadi, persiapkan diri kalian untuk berbagai skenario yang mungkin muncul. Prioritaskan materi yang paling sering muncul dan yang paling relevan dengan praktik dokter umum. Kalian bisa cari tahu pola soal dari kakak tingkat atau buku-buku latihan OSCE yang banyak beredar. Ingat, persiapan yang terarah akan jauh lebih efektif daripada belajar semua materi tanpa fokus. Dengan memahami area kunci ini, kalian bisa menyusun strategi belajar yang lebih efisien dan efektif, sehingga kalian bisa lebih siap menghadapi pertanyaan OSCE kedokteran yang menantang.

Tips Jitu Menaklukkan Stasiun OSCE Kedokteran: Dari A sampai Z

Oke, guys, sekarang kita masuk ke bagian paling penting: gimana sih cara biar sukses di setiap stasiun OSCE kedokteran ? Pertama-tama, yang paling fundamental adalah penguasaan materi klinis dasar . Kalian harus bener-bener paham konsep anatomi, fisiologi, patofisiologi, sampai farmakologi dari berbagai penyakit umum. Ini adalah fondasi yang nggak bisa ditawar. Kedua, latihan, latihan, dan latihan! Cari teman atau kelompok belajar buat simulasi OSCE. Perankan pasien, jadi pemeriksa, bergantian aja. Ini penting banget buat melatih skill komunikasi dan teknik pemeriksaan fisik . Jangan malu buat salah di latihan, justru di situ kalian bisa belajar dan memperbaiki diri. Ketiga, manajemen waktu itu krusial . Setiap stasiun punya jatah waktu yang ketat. Latih diri kalian untuk bergerak cepat tapi tetap teliti. Sering-sering aja latihan dengan stopwatch. Keempat, perhatikan detail . Kadang, keberhasilan atau kegagalan di satu stasiun itu ditentukan oleh hal-hal kecil. Misalnya, cara kalian menyapa pasien, cara kalian menutup pintu sebelum memulai pemeriksaan, sampai cara kalian mengucapkan salam penutup. Hal-hal kecil ini menunjukkan profesionalisme kalian. Kelima, fokus pada instruksi . Setiap stasiun pasti ada instruksi yang jelas. Baca baik-baik, pahami apa yang diminta, dan lakukan sesuai instruksi. Jangan sampai kalian melakukan sesuatu yang nggak diminta atau melewatkan tugas penting. Keenam, teknik komunikasi yang baik . Gunakan bahasa yang sopan, tunjukkan empati, dengarkan keluhan pasien dengan seksama, dan berikan penjelasan yang mudah dimengerti. Teknik open-ended question sangat berguna saat anamnesis. Ketujuh, keterampilan pemeriksaan fisik . Latih teknik inspeksi, palpasi, perkusi, dan auskultasi berulang-ulang sampai kalian mahir. Tahu kapan harus menggunakan alat bantu seperti stetoskop atau penlight. Kedelapan, sikap tenang dan percaya diri . Meskipun di dalam hati mungkin dag-dig-dug, usahakan untuk tetap terlihat tenang dan profesional. Percaya pada kemampuan yang sudah kalian latih. Kesembilan, refleksi pasca-ujian . Setelah selesai satu stasiun, segera catat apa yang kalian rasa sudah bagus dan apa yang perlu diperbaiki. Ini penting buat evaluasi diri. Terakhir, tapi nggak kalah penting, jaga kesehatan fisik dan mental . Cukup istirahat, makan makanan bergizi, dan kelola stres dengan baik. Persiapan OSCE kedokteran yang optimal itu gabungan dari pengetahuan, skill, dan mental yang kuat. Semangat, guys! Kalian pasti bisa! Ingat, setiap langkah kecil dalam persiapan ini adalah investasi besar untuk masa depan kalian sebagai dokter yang kompeten dan berdedikasi. Jangan pernah remehkan kekuatan latihan yang konsisten dan sikap positif dalam menghadapi tantangan pertanyaan OSCE kedokteran ini. Dengan strategi yang tepat, kalian bisa mengubah rasa cemas menjadi kepercayaan diri yang kokoh.

Stasiun Khusus dalam OSCE: Mengasah Kemampuan Spesifik

Selain stasiun-stasiun yang menguji kemampuan klinis umum, pertanyaan OSCE kedokteran juga seringkali menyajikan stasiun-stasiun yang lebih spesifik untuk mengasah kemampuan tertentu. Salah satunya adalah stasiun komunikasi dan etika . Di sini, kalian mungkin akan dihadapkan pada skenario di mana kalian harus menyampaikan berita buruk kepada keluarga pasien, menangani pasien yang marah atau tidak kooperatif, atau bahkan memberikan konseling mengenai masalah kesehatan yang sensitif. Kunci sukses di stasiun ini adalah kemampuan mendengarkan aktif, menunjukkan empati yang tulus, dan menggunakan bahasa yang jelas serta penuh hormat . Ingat, sebagai calon dokter, kalian tidak hanya dituntut pintar secara medis, tapi juga harus punya hati yang peka dan kemampuan membangun hubungan baik dengan pasien. Ada juga stasiun interpretasi hasil pemeriksaan penunjang . Kalian bisa saja diberi gambaran hasil laboratorium, foto rontgen, EKG, atau CT scan, lalu diminta untuk menganalisis dan menjelaskan temuan pentingnya. Ini menguji kemampuan kalian dalam menghubungkan data objektif dengan kondisi klinis pasien. Pahami nilai normal dari berbagai parameter dan kenali tanda-tanda abnormal yang signifikan. Stasiun lain yang sering muncul adalah stasiun penulisan resep atau instruksi pengobatan . Kalian harus bisa menuliskan resep obat dengan benar, mencantumkan dosis, frekuensi, cara pemberian, dan durasi pengobatan yang tepat, sesuai dengan kaidah penulisan resep yang berlaku. Jangan lupakan juga stasiun simulasi tindakan medis sederhana , misalnya cara melakukan injeksi intramuskular yang benar, memasang infus, atau melakukan perawatan luka dasar. Meskipun sederhana, teknik yang benar sangat penting untuk mencegah komplikasi dan memastikan efektivitas tindakan. Terakhir, beberapa universitas mungkin menambahkan stasiun yang berfokus pada pencegahan penyakit atau promosi kesehatan . Kalian mungkin diminta untuk memberikan edukasi kepada ‘pasien’ mengenai gaya hidup sehat, pentingnya vaksinasi, atau cara mencegah penyakit menular. Ini menunjukkan bahwa OSCE kedokteran juga melihat peran dokter dalam aspek preventif dan promotif kesehatan masyarakat. Menguasai berbagai jenis stasiun khusus ini akan membuat persiapan kalian semakin komprehensif dan meningkatkan peluang keberhasilan kalian dalam ujian. Setiap stasiun adalah kesempatan untuk menunjukkan kompetensi kalian secara holistik . Jadi, jangan anggap remeh stasiun-stasiun spesifik ini, karena seringkali mereka menjadi penentu kelulusan.

Menghadapi Hari-H OSCE: Kunci Sukses di Menit-Menit Krusial

Tibalah saatnya kalian menghadapi hari-H OSCE kedokteran . Pasti rasanya campur aduk antara gugup dan semangat, ya? Tapi tenang, guys, ada beberapa hal penting yang bisa kalian lakukan untuk memastikan performa terbaik di menit-menit krusial ini. Pertama, datang lebih awal . Jangan sampai terlambat karena akan menambah stres yang tidak perlu. Manfaatkan waktu ekstra untuk orientasi ruangan, mencari tahu lokasi stasiun, dan sekadar menenangkan diri. Kedua, baca instruksi dengan sangat teliti . Ini sudah sering kita tekankan, tapi ini super penting. Pastikan kalian paham betul apa yang harus dilakukan di setiap stasiun sebelum waktu berjalan. Jika ada yang tidak jelas, jangan ragu bertanya kepada pengawas sebelum waktu dimulai. Ketiga, fokus pada satu stasiun pada satu waktu . Begitu bel berbunyi, curahkan seluruh perhatian kalian pada stasiun yang sedang dihadapi. Jangan pikirkan stasiun sebelumnya yang mungkin kurang maksimal atau stasiun berikutnya yang menanti. Konsentrasi penuh adalah kunci. Keempat, gunakan alat pelindung diri (APD) dengan benar . Memakai sarung tangan, masker, atau APD lainnya sesuai indikasi bukan hanya soal protokol kesehatan, tapi juga menunjukkan kesadaran dan kepatuhan terhadap standar keselamatan pasien . Kelima, berkomunikasi dengan jelas dan empati . Ingat, ‘pasien’ di OSCE ini adalah mitra kalian. Sapa mereka dengan ramah, perkenalkan diri, jelaskan apa yang akan kalian lakukan, dan selalu tanyakan apakah mereka merasa nyaman. Gunakan bahasa tubuh yang positif, seperti kontak mata dan senyuman. Keenam, lakukan pemeriksaan fisik secara sistematis . Mulai dari inspeksi, palpasi, perkusi, hingga auskultasi, lakukan secara berurutan dan jangan ada yang terlewat. Berpikir kritis saat melakukan pemeriksaan; apakah ada temuan yang tidak biasa? Apa kemungkinan diagnosisnya? Ketujuh, tuliskan hasil atau kesimpulan dengan ringkas dan jelas . Jika ada bagian pengisian lembar jawaban, pastikan tulisan kalian terbaca jelas dan informasinya akurat. Gunakan istilah medis yang tepat. Kedelapan, kelola waktu dengan bijak . Perhatikan jam yang tersedia. Jika waktu hampir habis, prioritaskan tugas-tugas yang paling penting. Jangan panik, tapi tetap bergerak efisien. Kesembilan, jaga sikap profesional . Meskipun ada kesulitan atau kesalahan kecil, tetap tunjukkan sikap tenang, sopan, dan bertanggung jawab. Kesepuluh, akhiri stasiun dengan baik . Ucapkan terima kasih kepada ‘pasien’ dan pengawas sebelum meninggalkan stasiun. OSCE kedokteran adalah ujian yang menantang, tapi dengan persiapan yang matang dan strategi yang tepat di hari-H, kalian pasti bisa melewatinya dengan gemilang. Percayalah pada proses dan kemampuan diri sendiri. Kalian sudah sejauh ini, jadi kalian pasti bisa menaklukkan pertanyaan OSCE kedokteran !